Aim of the problem
The adressed probelm is estimating the shift parameter called d=(d1,d2,...,dn)t given the harmonic function r:Rn->R
Application examples:
1-D: radar, source localization, velocity tracking.
2-D: motion tracking with RF images with lateral modulations (see Basarab et al.
Phase model
The estimation is processed by analytical phase adjustment. The considered linear phase model is obtained using multidimensional analytic signals (see Basarab et al.
2-D example of phase image computation (from a 2-D RF image)
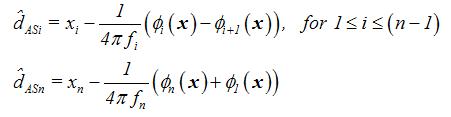
Method for subsample shift estimation
The mathematical formulation of the analytical shift estimator using the phases shown above is detailed in Basarab et al.
Advantages of our estimator:
- An analytical solution of the spatial shift is provided, so no need to search for the best matching block
- It uses the spatial phase, so no need to compute complex cross-correlation
1-D application example of the estimator:
- The two points above make our estimator more computing efficient than classical methods.
Applications and results
For motion estimation, the estimator is used to estimate the blocks translation (see Basarab et al.
- Motion estimation with 2-D RF images - application to ultrasound elastography
Compression of a smooth medium with a hard inclusion

(a) Ultrasound image and estimated 2-D motion vectors corresponding to the region designated by the rectangle on the ultrasound image (b) from true displacement and estimated using (c) our estimator, (d) normalized cross-correlation (NCC).
- Motion estimation with tagged IRM images - application to heart motion analysis

(a) Estimated region (red rectangle), (b) True motion vectors superimposed to the IRM tagged image, Estimated motion vectors with BDBM method
Observation: In both RF and MRI cases, interpolating the cost function (NCC) could lead to similar results as our analytic estimator. In this case, the computation time would be 10 to 20 times higher than with our phase estimator.